Nous voici arrivés au septième chapitre. Après avoir décortiqué les mécanismes de la Weid, nous allons maintenant essayer de nous en servir comme outil pour comprendre le monde. C'est donc l'heure de faire le point, de dresser l'inventaire de ce que nous avons dans notre besace pour continuer notre chemin. Ce chemin, c'est bien sûr celui de la vie, celle qui nous entoure mais aussi la nôtre, car les deux sont indissolublement liées. Les outils dont nous disposons doivent nous permettre de construire le chemin. Si l'on ne connaît pas bien les outils, si l'on ne sait pas ou si l'on ne veut pas les utiliser, le travail sera beaucoup plus difficile. Tout juste parviendrons-nous à bâtir des voies sans issue, des culs-de-sac. Ces bouts de routes chargés d'espoir, de désillusions et de souffrances, avec leur avancées et leurs reculs, nous sont familiers, car les hommes ne font que cela depuis le début. Des essais d'explication du monde suivis de tentatives de réalisation. Mais à chaque fois quelque chose se détraque et il faut recommencer sur de nouvelles bases. Bien sûr, toute cette agitation n'est pas inutile. C'est en tombant que l'enfant apprend à marcher, dit-on. Et puis, si nous sommes toujours là pour en parler, c'est bien que les voies sans issue avaient une utilité. Peut-être tout simplement de nous conduire à l'âge adulte, celui du dernier cul-de-sac en date qu'est la Weid ! C'est implacable et terrible mais en même temps chargé de tous les espoirs pour peu que nous utilisions bien ses outils.
Alors qu'avons-nous dans notre besace ? D'abord nous avons quelque chose, ce qui est mieux que rien ! Ce quelque chose, après avoir éliminé tout ce qui pouvait être douteux, ressemble à ce que l'on appelle de la pensée. Ce n'est même pas le " moi ", même pas le " je ", seulement le verbe penser, qui me permet de me penser. Voilà tout ce qui nous reste de certain pour reconstruire le monde : une pensée qui est information qui est sens. Comme il existe beaucoup de pensées différentes, nous avons créé une unité de pensée que nous avons appelée eidos. C'est la brique élémentaire de l'univers. Ensuite, nous avons constaté que ces pensées se fabriquent par union et séparation, ou par séparation et union, on ne sait pas vraiment où ça commence. Peut-être même n'y a-t-il aucun commencement ! Mais le mécanisme existe et nous l'avons appelé le Principe Moteur. Enfin, pour terminer, nous nous sommes aperçus que ces eidos entraînés par le Principe Moteur ne réalisaient pas n'importe quoi en s'unissant et en se séparant. A chaque fois, ils engendraient quelque chose de nouveau, mais cela se faisait ou bien en répétant et renforçant l'information déjà existante, ou bien en en créant une nouvelle sur la base de l'ancienne. Cette manière d'agir, d'aller vers toujours plus de perfection et de création, trouve son origine dans ce que nous avons appelé le Principe Directeur. C'est grâce à lui qu'il y aura toujours quelque chose plutôt que rien.
Voici résumée une dernière fois la trilogie de la Weid : 1. le Principe Directeur, 2. le Principe Moteur, 3. les eidos. Ces trois éléments sont indissociables et indispensables. Que l'on commence par le 2 ,le 1 ou le 3 n'a aucune importance, car ils travaillent sans cesse ensemble depuis toujours, intrinsèquement liés, les trois à la fois. Enfin, l'on peut ajouter que cette trilogie se retrouve partout. Elle engendre tout, comme un emboîtement de poupée russes, qu'en terme savant on appelle la fractalité. C'est à chaque fois la conscience des hommes qui donne leurs noms aux trois éléments de la trilogie. Le fait même que nous les nommions aujourd'hui, avec des nombres ou des mots, même les plus larges de sens, est déjà une trahison de la Weid. Car ce faisant on l'enferme dans un eidos alors qu'elle les génère tous. Pour notre défense, nous dirons que nous y sommes contraints, par le simple fait que ce n'est pas un caillou, une fleur ou une chèvre qui s'exprime aujourd'hui, mais des êtres humains qui parlent à d'autres êtres humains. Et sur ce plan là, les eidos qui se présentent sous la forme de mots, sont le moyen le plus efficace pour faire passer le sens des choses au plus grand nombre d'individus (surtout quand il s'agit d'écrire un livre !). Mais il existe d'autre voies, plus personnelles, qui permettent d'arriver au même résultat. Quoiqu'il en soit, ces trois mots, comme une caisse de résonance, peuvent aussi vous y conduire. Ensuite, vous pourrez les jeter dans les oubliettes de votre inconscient, de la même manière qu'il n'est pas utile de penser à débrayer pour changer de vitesse sur une voiture. Quand on sait conduire, tous ces gestes, qui avaient d'abord été formulés, " je débraye, je freine, je tourne le volant, etc. ", deviennent automatiques. On n'y pense plus, mais c'est tout de même grâce à eux que la voiture avance dans la direction souhaitée.
C'est de cette manière que nous avons travaillé pour tenter de construire une nouvelle vision du monde. Nous avons utilisé les seuls outils dont nous étions sûrs, le Principe Directeur, le Principe Moteur, et les eidos. A partir de là nous avons essayé de reprendre les choses depuis le début.
Le début justement, cela s'appelle en terme savant la cosmogonie. La plus récente est connue sous le nom Big Bang. Elle a été inventée par des scientifiques. Mais il y en a eu beaucoup d'autres depuis que les hommes possèdent une pensée réflexive. Autrefois, on appelait cela des mythes ou des contes de fée. On les retrouve à l'origine de toutes les religions, car ces histoires leur donne un sens. Ce sont des images qui nous permettent de mieux comprendre comment l'univers fonctionne. L'erreur est de commencer à adorer les images que nous avons créées, et d'oublier leur véritable message qui se trouve au-delà des mots. Ceci dit, même s'il nous faut devenir adultes, nous avons toujours, comme les enfants, besoin de savoir et de comprendre pour continuer à exister. C'est pour cela qu'avec nos trois petits outils, nous allons nous aussi écrire une histoire. Une histoire weidique, fractale comme il se doit, c'est-à-dire qui n'a en réalité ni début ni fin. Mais comme notre niveau de conscience, ou de connaissance, ou d'eidos comme vous voudrez, ne peut pas être plus que ce qu'il est, cette histoire par la force des choses aura son alpha (le Minéral né du Germe) et son oméga (le Tout qui rejoint le Germe), points de départ et d'arrivée qui ne traduiront que nos propres limites, points importants pourtant car c'est entre cet alpha et cet oméga que se joue l'histoire de l'homme. Voyons où se situent ces deux limites aujourd'hui.
Il était donc une fois une galaxie parmi des milliards de galaxies, et dans cette galaxie, une étoile moyenne entourée de planètes. L'une d'elles avait donné naissance à des êtres de pensées, dotés de l'étrange pouvoir de se poser des questions. Ces êtres s'étaient donnés un nom, celui d'hommes, et une histoire, des croyances, des sociétés, des notions du bien et du mal, et même des explications sur tout ce qu'ils voyaient. Mais comme les explications variaient en fonction du lieu et de l'époque, ils n'étaient pas vraiment satisfaits. En particulier, ces êtres avaient découvert les notions de vie éternelle et de bonheur, et ils ne comprenaient pas pourquoi ils ne trouvaient ni l'une ni l'autre sur la Terre. Cette quête les faisait avancer.
Leur univers avait aussi inventé le temps, et les hommes enfants de cet univers le comptait à leur manière. Ils disaient qu'ils se trouvaient à la fin du vingtième siècle. Beaucoup alors avaient le sentiment que les choses ne pouvaient plus continuer comme avant. Deux moteurs les poussaient au changement : la peur, car tout n'allait pas si bien sur la planète, et le désir, car ils commençaient à pressentir que tout pourrait aller mieux. Rien de nouveau dans leur raisonnement ; c'est toujours ainsi qu'ils avaient avancé. Mais cette fois, il n'était plus possible de trouver des solutions locales, car les hommes étaient arrivés à la conscience du lien planétaire. Sans le vouloir vraiment, ils s'étaient tous liés par une même vision du monde qui avaient engendré les systèmes économiques, les moyens de transport et de télécommunications, les médias, la menace nucléaire, les pollutions de toutes sortes, mais aussi des échanges culturels, religieux, scientifiques Comme symbole de tous ces liens, ils avaient pu pour la première fois contempler l'image de leur planète vue de l'espace. Ainsi, confusément, la plupart sentaient que quoiqu'ils fassent, leurs destins étaient liés. Lentement, ils prenaient conscience qu'ils se trouvaient embarqués dans le même vaisseau et dans la même histoire. Mais quelle histoire ? Chacun avait son avis là-dessus. Et toutes ces idées différentes qui ne cessaient de s'opposer, contribuaient à la confusion. Qui avaient raison ou tort ? Fallait-il pour inventer du nouveau trancher une fois de plus et imposer la vérité de quelques uns à tous ? Ou bien n'était-il pas temps de trouver une autre approche réconciliant les passagers du vaisseau au lieu de les diviser ? Voilà à quoi songeaient les hommes à la fin de leur vingtième siècle. A cette époque, il y avait sur la Terre des humains ni plus malins ni plus bêtes que les autres, qui s'attelèrent à la tâche. Il leur avait suffi de rassembler les connaissances éparses acquises au fil des siècles pour trouver une idée qui permettrait peut-être de réconcilier tout le monde. Pour eux, cette idée symbolisait le dernier fruit mûr de l'arbre de la connaissance, le dernier plan de conscience en date, la nouvelle alliance possible. L'un de ces modèles du monde portait le nom barbare de Weid, et lui aussi avait quelque chose à dire sur l'origine de notre univers et sur la suite de son histoire.
Le Tao qu'on tente de saisir n'est pas le Tao lui-même ; le nom qu'on veut lui donner n'est pas son nom adéquat.
Sans nom, il représente l'origine de l'univers ; avec un nom, il constitue la Mère de tous les êtres.
Par le non-être saisissons son secret ; par l'être abordons son accès.
Non-être et être sortant d'un fond unique ne se différencient que par leurs noms.
Ce fond unique s'appelle Obscurité.
Obscurcir cette obscurité, voilà la porte de toute merveille.
Ainsi commence le fameux Tao Tö King de Lao Tseu, vieux d'au moins 2500 ans (1). Vous l'aurez sans doute compris, ce texte, comme beaucoup d'autres d'ailleurs, parle de la Weid. Il emploie d'autres mots, mais l'origine est la même. Elle réside dans l'Obscurité du Fond. Pour nous, ce n'est rien d'autre que le Principe Directeur, car de lui tout est issu : il est la Mère de tous les êtres. Il n'est pas extérieur aux choses, c'est-à-dire aux eidos. Il est la substance même qui les constitue. Il est comme une pâte qui posséderait la capacité de se modeler elle-même pour prendre toutes les formes.
Le Principe Directeur, encore sans nom, engendra les premiers eidos comme simple expression de lui-même. Ils furent ainsi ses premiers noms, sa première prise de conscience, sa sortie de l'obscurité. Ils reçurent une forme identique au Principe car le Principe n'avait d'autre forme que la sienne à exprimer. Mais l'expression était incomplète et exigeait de se parfaire. C'est pourquoi les eidos, en tant que " créatures ", reçurent également comme attribut du " créateur " le pouvoir de s'exprimer à leur tour. Et comme la perfection exige la répétition, et que la création exige la fusion, surgit naturellement le Principe Moteur. La balle était lancée. Le Monde existait, qui n'avait d'autre finalité que de se révéler à lui-même. Mais la recherche d'une révélation parfaite fit que la création depuis lors jamais ne cessa. Le Monde initial se déploya en une myriade de mondes, qui se peuplèrent d'entités innombrables dans le but eux aussi de parvenir à la conscience d'eux-mêmes. Ainsi, en même temps qu'il y eut toujours plus de conscience, y eut-il toujours plus de diversité.
Nous voici au fond du Fond, au-delà duquel il n'est pas possible d'aller. Nous le nommons Principe Directeur. D'autres le nomment Tao. D'autres encore le nomment Brahman : " Dans le système védique, la création est l'objectivation de Brahman lui-même ; et c'est par le Verbe qu'il crée les formes de l'univers " (2). D'autres encore le nomment Dieu : " Et le Verbe se fit chair ". D'autres préfèrent ne pas le nommer du tout. Les noms n'ont d'ailleurs aucune importance car le Fond est forcément Sans-Nom. Ce ne sont que des eidos que nous, êtres humains, construisons pour tenter de saisir la réalité avec notre raison. Ils ont donc leur utilité, mais aussi leurs limites. Car à trop prendre le nom pour la chose, nous finissons parfois par contrarier la bonne marche de l'ensemble, notamment lorsque nous cherchons à juger l'univers à l'aune de notre morale. Le Principe en lui-même est complètement neutre, c'est-à-dire par-delà le bien et le mal. Il crée et il parfait (au sens d'achever rappelons-le), il est simplement la Vie, pas le juge.
Le Principe Directeur a donc engendré les premiers eidos comme expression de lui-même. Il est tout à fait concevable que dès l'origine il se soit exprimé de plusieurs manières, semblables bien que différentes. C'est un peu comme les flocons de neige qui ont le même air de famille parce qu'ils sont engendrés par l'action des mêmes lois sur la même matière, mais qui pourtant sont tous différents. Chacun des eidos primitifs devait sans doute révéler un aspect du Principe Directeur. Chacun a du servir de Germe au déploiement d'un monde. Ceci explique l'existence probable dès l'origine d'une pluralité de mondes. Mais attention, il faut se garder de concevoir cette multitude sur le modèle du nôtre, avec son espace tridimensionnel, ses atomes, ses étoiles et ses galaxies. Comprenez bien qu'ils sont tous très différents les uns des autres, que certains n'ont peut-être aucun espace ni aucune forme, que d'autres ne possèdent pas de matière, etc. Mais en tout cas, tous sont peuplés d'êtres conscients, car, ainsi que nous venons de le voir, c'est leur raison d'être de " faire de la conscience ".
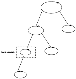
Si, à partir d'un simple raisonnement métaphysique ne faisant appel qu'aux principes de la Weid, nous avons pu sans trop de difficultés remonter aux origines, vous devez vous souvenir que la fractalité nous interdit d'aller plus loin, parce qu'elle nous empêche irrémédiablement de savoir comment nous nous situons aujourd'hui par rapport à ce début. En d'autres termes, nous ne pouvons êtres certains que d'une chose : notre univers, celui dans lequel nous vivons, avec son espace tridimensionnel, ses atomes, ses étoiles, cette Terre, etc., n'est qu'un parmi d'innombrables autres qui s'étagent à la fois au-dessus et au-dessous. Nous avons essayé de représenter cet étagement sur la figure 16.

Cette représentation ne peut être qu'imparfaite parce que, autre conséquence de la fractalité, l'histoire de l'univers apparaît très différente selon le point de vue ! De l'intérieur, où nous nous situons évidemment, nous voyons un déroulement linéaire qui, partant du Germe, aboutit au Tout en passant successivement par le Minéral, le Végétal, l'Animal, l'Homme, le plan astral, et l'âme collective (tout cela sera expliqué plus loin). Mais de même que pour comprendre la construction du cercle il faut se placer au centre qui se trouve en-dehors, pour bien comprendre notre univers, nous devons l'observer d'un point situé à l'extérieur. Vu de là, il n'y a plus de déroulement. Tout est présent en totalité. Pour comprendre ce paradoxe, il nous faut rentrer un peu dans les détails.
L'histoire de notre Univers est résumée sur la figure 17.

Tout part du Germe, qui progressivement se déploie. Il y a bien sûr d'autres germes, qui sont à l'origine d'autres univers, très différents les uns des autres. Le nôtre présente diverses caractéristiques, comme la structure de l'espace ou le développement des formes, dont certaines nous sont accessibles grâce à la nouvelle méthode scientifique exposée au chapitre précédent.
Ce Germe se déploie donc à travers 7 Plans successifs. Les trois premiers, nous les nommons " le monde créé ", parce qu'ils existent antérieurement à l'homme. Il s'agit du Minéral, du Végétal, et de l'Animal. Nous les avons déjà évoqué au chapitre 5, et nous les approfondirons un peu plus loin.
Ensuite vient l'Homme, qui est le pont entre ce " monde créé " et le " monde créateur ", parce qu'il est d'une part l'aboutissement du " monde créé ", un prolongement de l'animal donc, et que d'autre part il possède en plus la pensée réflexive qui le rend à son tour apte à créer. Les trois derniers plans de notre univers sont donc le fruit de son activité. C'est pourquoi nous les nommons " le monde créateur ". Il s'agit tout d'abord du plan astral, qui comprend diverses entités comme les grappes et les Soi Totaux, où se regroupent, par affinité, les âmes des défunts. Ensuite vient l'âme collective, qui est la totalité du monde terrestre parvenue à la conscience d'elle-même. Et encore au-delà, se trouve le Tout, le septième plan, qui rejoint le premier, et qui en fermant la boucle achève l'histoire. Ces trois plans ainsi que celui de l'homme seront étudiés aux chapitres suivants.
Pourquoi 7 au total et non pas 6 ou 8 ? Pour les raisons évoquées au chapitre précédent lorsque nous avons décortiqué ce symbole : l'homme est ici le créateur, et comme depuis des millénaires il renforce l'eidos des 7 Plans, il s'en construit finalement 7. En réalité, tout se fait par glissement, par sauts infimes, à chaque fois que des eidos nouveaux naissent de l'action de la Cause Séparante. Mais nous savons que les outils de perception et de connaissance dont dispose l'homme ne lui permettent que d'accéder à des changements plus globaux. S'il ne voit pas la progression subtile d'un eidos à un autre, en revanche, il voit très bien la transition d'un Plan à un autre. C'est pourquoi il effectue des regroupements, il crée des catégories. Il aurait pu en faire 6 ou 8. Mais nous supposons qu'il a décidé voici longtemps déjà qu'il y aurait 7 Plans de développement, et c'est 7 que nous observons aujourd'hui.
Essayons maintenant d'appréhender cette idée bizarre selon laquelle notre univers aurait une histoire vu du dedans, mais qu'il n'en aurait pas vu du dehors, c'est-à-dire depuis un autre univers. Pour comprendre tout d'abord comment cela est possible recourons à une analogie. Prenez un ordinateur performant doté d'un bon programme de synthèse d'image. Il vous demande d'entrer un nombre quelconque, et hop, instantanément, une image apparaît. Vous entrez un autre nombre, et hop, c'est une autre image que vous voyez arriver. Pour vous, ces images n'ont pas d'histoire. Elles vous arrivent toutes faites, complètement achevées, directement issues d'un germe qui prend ici la forme du nombre que vous introduisez. Mais si vous étiez à l'intérieur de la machine, vous les verriez se construire petit à petit. Votre nombre serait introduit dans une formule grâce à laquelle seraient calculées les caractéristiques de tous les points de l'image. Et lorsqu'elle serait complète, nous dirions dans la Weid que la situation globale est saturée, alors elle deviendrait visible depuis l'extérieur, c'est-à-dire sur l'écran de votre ordinateur.
Autre analogie. Vous n'avez probablement aucune idée des innombrables processus microscopiques qui transforment continuellement votre organisme. Pourtant, chacune de vos cellules se nourrit, rejette des déchets, vieillit, meurt, et est remplacée. Votre corps, vous le percevez en fait comme de l'extérieur, et vous ne prenez conscience que de certains changements globaux : une petite ride ici, quelques cheveux blancs là, une moindre résistance à l'effort, etc. La traduction weidique est que votre plan de conscience n'est lié qu'à des situations globales le concernant (essentiellement ce que vous en voyez en vous regardant dans un miroir et ce que vous ressentez), et pas aux situations particulières qui le constituent (la vie de chaque cellule individuelle).
La transposition à notre univers est immédiate, car celui-ci n'est, du point de vue weidique, qu'un agrégat pas très différent de notre corps, sinon par le nombre d'eidos impliqués. Donc pour nous qui sommes à l'intérieur, nous le voyons bien avoir un déroulement historique qui va du Minéral au Tout. Mais pour d'autres agrégats qui le voient de l'extérieur, cet univers n'a pas d'histoire. Il apparaît comme achevé, sans passé ni futur. Il est bien sûr possible de démontrer cela de manière plus rigoureuse. Comme c'est un peu technique, nous avons préféré le faire dans l'annexe 3.
Il s'est trouvé à toutes les époques des hommes qui prétendaient que le monde n'avait pas d'histoire. Nous savons maintenant que loin d'être des fous, ils étaient des sages. Nous sommes aujourd'hui en mesure de saisir ce qu'ils voulaient dire, et nous pouvons même l'expliquer.
Retournons à l'intérieur de notre univers pour nous demander ce qui se passera lorsqu'il s'achèvera, c'est-à-dire lorsqu'il parviendra à la conscience entière de lui-même. Il n'y aura vraisemblablement ni déluges, ni tremblements de terre, ni autres apocalypses. Du moins si l'homme en tant que créateur ne s'obstine pas dans certaines de ses erreurs et qu'il parvienne bien à construire l'âme collective puis le Tout. Car souvenez-vous qu'avant d'être responsable de la fin de l'histoire, il est déjà, avec toutes les autres espèces, co-créateur du monde présent. Par conséquent, ce qu'il fait à lui-même retentit sur l'univers entier, et ce qu'il fait aux autres retentit sur lui-même. Si donc tout se passe bien et que le Tout se réalise, ce que nous ne pouvons que souhaiter, alors débutera pour lui une nouvelle histoire. Il changera tout simplement d'univers ! N'entendez pas cela comme un déplacement physique, mais comme un changement de plan de conscience. L'homme aura transmuté l'univers, et, en fermant la boucle, il lancera le Germe d'un nouvel univers.
Cette idée n'est somme toute pas très éloignée de celle de " régénération totale périodique " dont font état de très nombreuses mythologies (3), avec généralement pour moteur des héros surhumains, qui ne font en réalité que condenser les diverses vertus de l'humanité. D'où cette question : pouvons-nous faire d'autre rapprochements entre notre cosmogonie et celles que nous trouvons dans diverses traditions ? Guère à vrai dire, car pour en arriver à cette conception d'une pluralité d'univers, il a fallu très lentement, et souvent dans la douleur, franchir un certain nombre d'étapes. L'homme a d'abord dû admettre que sa tribu n'était qu'une parmi d'autres. Signalons à ce propos que bien des noms de peuples, comme Inuit, Sioux, Alaman, et beaucoup d'autres, veulent dire simplement " l'homme ", ou " tous les hommes ", ce qui sous-entend donc que les membres des autres tribus n'étaient pas vraiment des hommes ! Nous pouvons aujourd'hui considérer comme acquis que tous les hommes se reconnaissent comme des hommes, même si quelques uns persistent encore à se croire " plus égaux " que les autres.
La deuxième étape a été d'admettre que la Terre n'était pas le centre de l'univers. Puis c'est le Soleil qui n'est devenu qu'une étoile parmi d'autres, et notre galaxie une simple galaxie parmi des milliards. Ce n'est qu'au terme de cet élargissement progressif de son champ de conscience, que l'homme est en mesure aujourd'hui d'admettre que notre univers n'est qu'un parmi d'autres.
Si, sur le strict plan de la cosmogonie, les rapprochements sont minces entre notre modèle et ceux issus de la tradition, nous pouvons en revanche faire une intéressante remarque d'ordre théologique. Il s'avère en effet qu'un certain nombre d'entités que nous avons tout juste évoquées mais que nous décrirons plus longuement aux chapitres suivants, correspondent à des divinités que les hommes ont tour à tour adorées. Nous retrouvons ainsi dans les grappes, des dieux totémiques en relation avec le culte des ancêtres ; dans le Germe, ou ce qui revient au même dans le Tout, un dieu immanent, à la base du panthéisme ; avec les Soi Totaux, nous sommes en présence d'un dieu personnel, qui peut être profondément ressenti ; et finalement, avec le Principe Directeur, nous avons un dieu suprême et transcendant, à jamais inaccessible, à l'origine de tout. Aucune de ces entités n'est plus réelle ni n'a plus de valeur qu'une autre. Chacune correspond à un fragment de connaissance. Pour reprendre la formule de Black Elk citée au premier chapitre, leur seul pouvoir réside dans la signification qu'on leur donne et la compréhension qu'on en a.
Au terme de cette brève incursion dans l'histoire du monde, vous serez peut-être surpris, voire choqués. C'est pourquoi nous insistons pour redire qu'il ne s'agit que du dernier mythe en date, celui qui colle le mieux à notre vision du monde. L'essentiel n'est pas dans le détail de cette histoire, qui peut être racontée de mille manières. Ce qui compte avant tout, c'est le considérable élargissement de notre perspective qu'apporte cette vision. En particulier, nous ne devons plus nous considérer comme des êtres isolés, perdus sur un bout de caillou à la dérive. Il est probable qu'il y a d'innombrables univers, tous très différents les uns des autres, tous peuplés d'êtres conscients, car la conscience est une donnée première, et d'une certaines manière la finalité de l'existence. Et nous, êtres humains, sommes co-créateurs de notre univers. Son avenir et notre avenir sont indissolublement liés, et dépendent largement de nous. Nous sommes engagés dans une histoire qui n'a pas de fin, mais non pas morne et monotone. Nous avons la tâche de conduire cet univers dans lequel nous sommes à sa perfection. Cette tâche achevée, nous serons complètement transmutés. Alors une autre commencera, l'édification d'un nouvel univers complètement différent du précédent. Quoi de plus grandiose et de plus exaltant !
Nous venons de voir que la progression de notre univers dépend pour beaucoup de notre progression à nous. Il est évident qu'elle ne pourra se faire qu'à la condition que nous ayons une juste compréhension du " monde créé ", à savoir les trois Plans du Minéral, du Végétal, et de l'Animal, ainsi que de nous-mêmes, qui sommes créateurs des trois derniers Plans. Nous allons pour commencer nous efforcer de comprendre comment s'est édifié le " monde créé ", et nous traiterons de l'homme aux chapitres suivants.
Revenons à la figure 16. Nous y voyons notre univers encadré par d'autres univers en haut et en bas. Justement, par quoi peut-il bien être encadré ? Nous savons déjà que d'un côté il y a le Germe. Il s'agit, rappelons-le, d'un ensemble d'eidos qui, en se déployant, va progressivement engendrer tous les eidos de notre univers. Et dans ce mouvement de déploiement, il va complètement disparaître en tant que germe, pour se retrouver partie intégrante de chaque eidos.
Et de l'autre côté, faisant le pendant du Germe, il y a forcément quelque chose aussi. Pour sentir de quoi il s'agit, refaisons une descente au plus profond de la matière, dans le monde des particules. Vous vous souvenez sans doute que lorsque ces particules sont observées par des humains, d'innombrables paradoxes surgissent : elles apparaissent à la fois comme des ondes et comme des particules (expérience des fentes d'Young ) ; elles semblent se jouer de certaines contraintes imposées par notre espace (expérience EPR, effet tunnel, etc) ; elles se matérialisent et se dématérialisent au gré de nos observations (problème de la réduction du paquet d'onde) Bref, tout ceci donne l'impression que ces particules, bien qu'étant des matériaux de construction de notre monde, n'en font pas vraiment partie. Cette impression est d'ailleurs renforcée par le fait que nous ne retrouvons pas à leur niveau certains eidos dont nous savons qu'ils sont directement issus du Germe, en particulier l'espace euclidien tridimensionnel, la suite de Fibonacci et son pendant le Nombre d'Or.
Le cas le plus intéressant, et sans doute le plus incompris, est celui du photon. En plus des divers paradoxes que nous venons d'évoquer, il possède quelques propriétés étonnantes. Bien que sa masse soit nulle, il est une bouffée de pure énergie capable d'engendrer n'importe quelle particule massive. Quelque soit votre mouvement, il est toujours vu par vous se déplaçant à la vitesse de la lumière, soit environ 300000km/s. Cela a de curieuses conséquences, comme cet exemple développé par David Bohm :
" On peut se demander ce qui se passerait si on pouvait se déplacer en même temps qu'un rayon de lumière. Au fur et à mesure que votre vitesse augmenterait et s'approcherait de la vitesse de la lumière, le laps de temps compris entre le début et la fin, dans votre propre cadre de référence, s'amenuiserait, et l'espace de même. A la vitesse de la lumière, il n'y aurait plus aucun décalage temporel entre le début et la fin du rayonnement lumineux. Bien sûr, cela reste hors d'atteinte, mais on peut l'imaginer, et donc on pourrait dire qu'il y a là un phénomène hors du temps et hors de l'espace " (4).
Autrement dit, un photon est simultanément présent à ce qui correspond pour nous au début et à la fin de sa trajectoire. Entre les deux, il n'y a rien ! Une dernière propriété fascinante est que vous pouvez superposer autant de photons que vous voulez sans que cela pose de problème " d'espace vital ". Finalement, cet être étrange nous donne l'impression de traverser notre monde un peu comme un fantôme !
La première idée que tout cela suggère est qu'il ne doit pas y avoir de grande différence entre toutes les particules. Entre un électron et un proton par exemple, l'écart est probablement du même ordre qu'entre une pomme rouge et une pomme verte, et non pas comme on semble le penser aujourd'hui entre un poulet et une orange !
L'autre idée est que les photons que nous voyons ne sont probablement que la partie émergée d'un gigantesque iceberg. C'est l'ensemble tout entier, comprenant donc aussi la partie immergée, qui détermine leurs comportements. De là ces innombrables paradoxes qui surgissent lorsqu'on s'en tient à ce qui dépasse de la surface. Pour cette raison, nous avons préféré introduire un terme nouveau qui n'engendrera pas de confusion. Nous avons appelé I.U. ces entités qui appartiennent à un autre univers, et qui se manifestent aussi dans le nôtre où elles servent de matériau de construction. Notre univers est donc le fruit de la rencontre entre le Germe et les I.U., le premier servant en quelque sorte à donner forme aux seconds.
Comment comprendre que nous ne voyions des I.U. qu'une toute petite partie ? Recourons une nouvelle fois à une analogie. Prenez un tigre ou un lion et enfermez-le dans une petite cage. Vous le verrez faire indéfiniment le va-et-vient d'un bord à l'autre en longeant les barreaux. Vous pourrez même à l'aide d'un chronomètre noter la parfaite régularité de ses allers et venues ! Mais qu'aurez-vous appris de la véritable nature des lions ou des tigres ? Pas grand chose en vérité, sinon qu'ils deviennent fous lorsqu'ils sont mis en cage. Relâchez-les dans la jungle ou la savane, et vous les verrez se comporter à nouveau en lion ou en tigre.
De la même manière, les comportements étranges des particules dans notre monde peuvent être interprétés comme l'effet d'une mise en cage des I.U.. La cage, c'est bien sûr notre espace euclidien tridimensionnel, dont il ne fait guère de doute que l'origine se situe dans le Germe lui-même (les intuitions du mathématicien René Thom à ce propos sont certainement fondées (5)). En entrant dedans, les I.U. adaptent leurs comportements, et nous apparaissent alors sous forme fragmentaire que nous dénommons photons. En d'autres termes, les caractéristiques propres de notre univers agissent comme des contraintes qui forcent les I.U. à se manifester de telle et telle manière.
Les difficultés de la relativité et de la physique quantique, ainsi que leur incompatibilité, proviennent sans doute de là. Elles décrivent des comportements de particules en cage, mais sans voir qu'il y a la cage ! Pour véritablement parvenir à comprendre ce qui se passe, il faut les en sortir. Cela revient à séparer, dans les phénomènes que nous observons, ce qui vient des I.U., ce qui vient de la cage tridimensionnel, et ce qui vient de notre regard. Cette façon de procéder débouche sur une toute nouvelle conception de la physique des particules. Elles comprendrait deux volets que nous qualifierons grossièrement de théorique et de pratique. L'aspect purement théorique consisterait à essayer de connaître les I.U. tels qu'ils sont dans leur univers à eux. Cela reviendrait donc à voir leur monde tel qu'eux le voient. L'aspect plus pratique consisterait à chercher comment supprimer les contraintes de notre univers pour pouvoir passer dans le leur. Nous briserions ainsi un certain nombre de limites. En particulier, nous accéderions à des sources inépuisables d'énergie, et nous pourrions nous lancer dans de prodigieux voyages interstellaires qu'ont relatés tant d'écrivains de science-fiction.
" Rêves et affabulations que tout cela " penseront certains. Peut-être bien. Mais la réalité d'aujourd'hui n'a-t-elle pas elle aussi commencé un jour comme un simple rêve ? De toute façon, l'étude de la matière a aujourd'hui atteint un tel degré de complexité et de confusion qu'une approche radicalement nouvelle est requise. Que ce soit celle que nous proposons ou une autre qui triomphe en fin de compte importe peu. Il faut d'abord commencer par oser repenser le problème d'une manière entièrement neuve. Nous serons amplement satisfaits si nous contribuons seulement à donner une impulsion dans ce sens. Pour être tout à fait justes, il nous faut ajouter que la voie a été ouverte par David Bohm avec sa théorie de l'ordre impliqué (ou replié) et expliqué (ou déployé) (6). Il n'a malheureusement pas encore fait école. Nous ne pouvons que souhaiter que ses idées soient reprises et développées.
Puisque nous considérons que les particules dénommées I.U. sont d'un autre univers, et qu'elles nous servent uniquement de matériau de construction, notre univers à proprement parler commence après elles, avec ce que nous avons appelé le Plan du Minéral. La façon la plus précise de le définir consiste à dire qu'il s'agit d'eidos issus du Germe qui relient entre eux des I.U., et dont la signification s'interprète à notre niveau comme des formes dans un espace euclidien tridimensionnel. Ces formes, ce sont bien entendu les atomes, les molécules, les macromolécules, les cristaux, les polymères, etc. Les eidos du Minéral sont donc en quelque sorte les plans d'organisation de ces entités.
La plupart sont complètement saturés, ce qui explique que nous observions une grande stabilité structurelle et comportementale. Cela se traduit d'une part par l'apparente solidité de la matière de notre monde (les cailloux par exemple pour être concret), et d'autre part par le fait que nous puissions approcher le contenu de ces eidos par des formules mathématiques (ce sont toutes les lois de la physique classique). Mais bien sûr rien n'interdit l'apparition de nouveaux eidos, c'est-à-dire de formes nouvelles de la matière. C'est le cas notamment lorsque les hommes soumettent des substances à des conditions expérimentales encore inconnues d'elles, les obligeant à adopter de nouveaux comportements. C'est ainsi que naissent de nouvelles molécules ou de nouveaux cristaux, comme par exemple la molécule de fullérène récemment synthétisée à partir du carbone. La loi weidique de la réaffirmation reste valable, et se traduit par le fait que plus ces expériences sont répétées, plus les synthèses deviennent faciles, ce qui signifie donc que les eidos correspondants sont de plus en plus saturés (7).
La plupart des scientifiques aujourd'hui considèrent qu'il n'y a pas de réelle différence de nature entre un objet inanimé et un être vivant, que le second se ramène simplement au premier. Quelques expériences, sans cesse répétées et citées par les partisans de cette conception, montrent effectivement qu'il est assez facile de synthétiser diverses molécules organiques comme les acides aminés, et même des molécules ayant la capacité de s'autorépliquer. L'ennui est qu'à partir de là, personne n'a jamais réussi à fabriquer un être vivant, comme une bactérie, pas même un virus.
Une autre difficulté est que la vie semble être apparue très tôt sur la Terre. Des microbes fossiles vieux de 3,4 milliards d'années ont été découverts alors que l'âge de la Terre est estimé à 4,5 milliards d'années. Le passage de la matière inanimée à la bactérie aurait donc pris beaucoup moins de temps que le passage de la bactérie aux grands organismes !
Tout ceci incite à penser qu'il y a une vraie différence de nature entre la vie et le Minéral, que celle-ci est plus que celui-là. Ce " plus " en termes weidiques est un nouveau plan organisateur qui se superpose au précédent. La principale manifestation de ce plan est le code génétique. Il est important de rappeler à ce propos qu'il s'agit d'un véritable langage, dont l'alphabet comprend quatre lettres appelées nucléotides, et qui groupées par trois forment des mots désignant l'un des 20 acides aminés. Ces mots sont à leur tour rassemblés dans une molécule d'ADN pour coder toutes les protéines qui constituent un organisme. Comme tout code, celui-ci introduit arbitrairement un niveau supplémentaire de signification qui fait qu'il est plus que la matière qui lui sert de support, de la même façon que les quatre lettres w-e-i-d ne sont pas seulement des figures juxtaposées, mais qu'elles construisent un mot qui a un sens. Voilà pourquoi nous sommes obligés de dire que la Vie ne sort pas du Minéral. Certes elle s'édifie sur lui, mais elle possède des caractéristiques propres et irréductibles. La distance peut ne pas sembler bien grande entre une molécule autorépliquante faite de nucléotides, et un brin d'ADN d'une bactérie. Au niveau de la matière, ce n'est qu'un tout petit glissement. Mais au niveau de la signification, il y a un saut qualitatif énorme puisqu'il aboutit à l'édification des plantes, des insectes, des reptiles, des oiseaux, et des mammifères.
De nombreuses observations effectuées ces dernières années suggèrent que l'ADN est encore bien plus qu'un langage servant à coder des protéines. Il possède en effet de vastes zones appelées introns dont la fonction reste encore largement incomprise. On sait en outre que, bien que sensé être porteur de toute l'hérédité, l'ADN à lui seul ne permet pas d'expliquer l'embryogenèse, et encore moins les héritages comportementaux (les êtres vivants possèdent dès leur naissance presque tous les comportements caractéristiques de leur espèce, même les petits d'hommes).
Certains de ces phénomènes pourraient devenir compréhensibles si nous pensions à l'ADN non pas seulement comme à une molécule, ce qu'elle est et reste évidemment, mais aussi comme à une " antenne " servant à " capter " des eidos d'un autre Plan. Ces eidos correspondraient principalement à des formes, pour diriger l'embryogenèse ou la régénération des tissus et des organes. En d'autres termes, ce n'est pas l'ADN en tant que tel qui contiendrait l'information servant à assurer, disons, la construction d'une fleur. Mais il serait indispensable en tant que relais, pour capter les " plans " nécessaires à cette genèse. Cette hypothèse quelque peu surprenante demande bien sûr à être confirmée. Elle constitue seulement une piste de recherche. En tout cas, elle n'a rien d'aberrant ni d'impossible dans le cadre de notre modèle du monde.
Le mythe cosmogonique Cherokee, que nous avons cité en entier au chapitre 5, disait à un moment ceci : " L'arbre régna sur le monde. A son tour il fit un rêve. Lui qui était si ancré à la terre, il rêva de la parcourir librement, follement, de vagabonder au travers d'elle. Alors apparu le ver de terre. " Ce que dit cette histoire, et que confirment les observations que chacun peut faire, c'est que, du Végétal à l'Animal, il y a là encore rupture et pas transition douce.
Bien sûr, la continuité est aussi indéniable. Il suffit de constater que la plupart des animaux se nourrissent de végétaux. En termes plus scientifiques, elle réside dans l'utilisation par les deux règnes du même système de codage génétique. Donc nous pouvons dire que le Plan de l'Animal s'édifie sur le Plan du Végétal. Mais en même temps il y a profonde rupture, parce que du fait qu'il se meut, l'animal possède des traits propres que n'a pas le végétal : il possède des comportements moteurs, associés à des comportements perceptifs très élaborées, le tout contrôlé par un système nerveux. Dans notre modèle, cela correspond à un nouveau Plan, qui contient toutes les informations nécessaires à ces perceptions et à ces actions. Et le cerveau est l'endroit où s'effectue la jonction entre ce Plan et celui de la matière. Autrement dit, c'est lui qui joue le rôle d'antenne pour transformer une sensation, visuelle par exemple, en une perception, celle d'une tomate, ou pour faire qu'une intention comme lever le bras s'actualise dans le corps et que le bras se lève. Nous reviendrons plus longuement au chapitre suivant sur cette idée du cerveau-antenne.
Vous avez peut-être été surpris de l'usage que nous avons fait des termes Minéral, Végétal, et Animal. Le moment est venu de nous en expliquer.
Un premier point à souligner est que, dans la Weid, tout se passe à la fois par glissement et par saut qualitatif. La distance n'est jamais bien grande entre la fin d'un Plan (par exemple une molécule autorépliquante ou un primate intelligent) et le début d'un autre (par exemple une bactérie ou un homme possédant un embryon de pensée réflexive). Là est le glissement. Mais en même temps, ce glissement recèle un énorme saut qualitatif qui permet à l'aventure de se poursuivre dans des voies complètement neuves et inexplorées.
Les I.U. s'assemblent en molécules, les molécules en macromolécules, les macromolécules en cellules procaryotes (c'est-à-dire sans noyau), les procaryotes en eucaryotes (cellules à noyau), et ainsi de suite.
Comment expliquer dans ces conditions que nous ayons trois Plans seulement dans le " monde créé ", le Minéral, le Végétal, et l'Animal ? Il faut bien comprendre que ce découpage est propre au regard que l'homme porte sur le monde. En effet, n'importe quel être humain fait spontanément la distinction entre du minéral, du végétal, et de l'animal. Bien sûr, à y regarder de plus près, les différences ne semblent pas toujours évidentes. Par exemple dans quelle catégorie ranger les éponges ? Mais nous devons tenir compte aussi du fait que ces distinctions ne sont pas de pures projections de notre mental. Cela nous donne la possibilité de justifier le découpage.
D'abord il y a le Minéral, qui est rappelons-le le plan organisateur des I.U.. Nous pouvons dire que la caractéristique du Minéral est de ne percevoir que le Minéral. Autrement dit, une entité de ce Plan ne peut être consciente de la présence que d'entités du même Plan, et aucunement de celles appartenant à des plans supérieurs. Un atome ou une molécule verra à sa manière n'importe quel atome ou molécule, cette perception se traduisant par des actions comme une attraction ou une répulsion. Mais il sera toujours incapable de percevoir la signification du code génétique, ou celle de l'accouplement sexuel.
Avec le Végétal, nous changeons de Plan, car il possède deux niveaux de perception, le Minéral tout d'abord puisqu'il est bâti sur lui, et le Végétal lui-même puisqu'un sens nouveau apparaît avec le code génétique. Pour nous, cette catégorie comprend aussi bien les bactéries et les champignons que les végétaux proprement dits. Certes, dans ce dernier cas, il s'agit souvent d'assemblages très complexes. Mais les cellules végétales semblent posséder une capacité à retrouver une indifférenciation qui rend possible la régénération, le bouturage, le clonage, etc, ce qui les rapproche des microbes. Par ailleurs, les comportements collectifs de certaines bactéries, comme les myxomycètes, ne sont pas sans rappeler des végétaux (8). La distance entre le végétal et l'animal est donc bien plus grande qu'entre le végétal et le bactériel. C'est pourquoi nous avons choisi d'appeler Végétal ce plan qui commence avec les bactéries et qui s'achève avec les plantes à fleurs. L'appellation n'est donc pas parfaite, mais nous nous en contenterons en attendant que quelqu'un trouve mieux.
Avec l'Animal, un nouveau plan apparaît, et une nouvelle " antenne " pour y accéder, le cerveau. Le résultat est que l'Animal, lui, perçoit trois plans : celui bien sûr qu'il a en propre et qui correspond à ses comportements perceptifs et moteurs, celui du Végétal puisqu'il utilise le même codage génétique, et celui du Minéral puisqu'il est fait de matière.
Quant à l'homme, avec la pensée réflexive qui lui donne la capacité de se percevoir en train de percevoir, il ajoute un quatrième Plan à l'édifice. Mais ce faisant, il sort du " monde créé " pour devenir créateur à son tour. L'homme est donc bien le sommet de la création, ainsi que l'affirment toutes les traditions. Mais il importe de comprendre qu'il n'est pas irremplaçable. Tout le déploiement qui s'est fait depuis le Germe devait aboutir à des êtres possédant cette capacité. Il se trouve aujourd'hui que c'est l'homme
Notez bien que dans tout ce que nous disons ici, nous ne renions pas les acquis de la science mécaniste. Nous tenons seulement à les placer dans une perspective plus vaste qui leur redonne sens, et qui aide à surmonter certaines de ses limitations. Nous ne prétendons pas cette fois encore détenir toutes les réponses. Un énorme travail est exigé pour parvenir à une véritable compréhension de la vie. Tout ce que nous pouvons faire pour l'instant, c'est ouvrir des voies nouvelles à la recherche, de montrer que notre approche est féconde, même si elle demande à être confirmée. C'est pourquoi nous nous contenterons dans ce qui suit de donner un bref éclairage weidique sur quelques phénomènes du vivant.
Il est aujourd'hui établi que l'évolution a suivi un cours très irrégulier. Il y a environ 600 millions d'années, les espèces vivantes se sont considérablement diversifiées. La poussée est si soudaine que les paléontologues n'hésitent pas à parler du Big-Bang du Cambrien (9). Le taux d'apparition de lignées nouvelles a ensuite très rapidement décru, pour avoisiner zéro vers la fin du Cambrien, soit il y a environ 500 millions d'années. Les organisations corporelles qui se sont développées durant cette période préfigurent la plupart des formes actuelles. Très peu de plans structuraux nouveaux sont apparus depuis. Au contraire même, de nombreux qui sont apparus alors ont disparu.
Selon la théorie classique de l'évolution, comme les mécanismes de mutations au hasard et de sélection naturelle sont les seuls à agir et qu'ils sont à l'oeuvre depuis toujours, nous devrions observer un développement plus continu. L'explosion du Cambrien est donc pour elle une sérieuse énigme.
Avec la Weid, nous pouvons regarder les choses d'un autre oeil. Lorsque sont apparus les premiers êtres pluricellulaires voici environ 1 milliard d'années, ils consistaient en de simples regroupements sans plan très défini. Ce n'est que peu à peu qu'ils se sont structurés, et qu'ils ont réparti différentes fonctions au niveau d'organes spécialisés. Nous disons qu'il y a eu apparition d'eidos de formes organisatrices. Au début, comme rien n'existait encore, tout était possible. C'est pourquoi nous avons assisté en un temps très court à une véritable explosion de formes. En quelque sorte la Nature a exploré toutes les possibilités, elle a tout essayé. Mais à partir de ce moment, le plan weidique des formes organisatrices s'est trouvé quasiment saturé, ce qui fait que la multitude n'a pu que se réduire. Cela s'est fait sous l'influence de deux facteurs : le mécanisme darwinien de la sélection naturelle, et le mécanisme weidique de la réaffirmation qui tend à renforcer les eidos déjà les plus solides. C'est ainsi par exemple que dans le groupe des insectes, nous ne trouvons que des variantes autour du thème : corps en trois parties, trois paires de pattes, deux paires d'ailes. Tous sont des variations autour d'une même structure de base, de la même manière que toutes les automobiles sont des variations autour du thème : quatre roues, un moteur, un volant. Les eidos de formes sont donc aujourd'hui si saturés qu'ils ne peuvent plus faire l'objet que de variations, ce qui explique pourquoi si peu de lignées nouvelles sont apparues depuis cette époque. Mais cela ne veut pas dire bien sûr que l'évolution a cessé. Comme la création est une caractéristique fondamentale de la nature, elle transparaît nécessairement dans l'évolution des êtres vivants. Le plan des formes étant saturé, elle s'est simplement déplacée. C'est ainsi que sont apparus progressivement de nouveaux plans d'eidos : comportements intelligents associés à un organe spécialisé, le cerveau ; communautés animales ; pensée réflexive. Pour chacun de ces plans, les mécanismes weidiques ont joué de la même manière, créant d'abord une explosion d'eidos, puis ne conservant que les plus solides. Cela explique la puissance de l'instinct, la rigidité des organisations animales, et même l'emprise des croyances chez l'hommes.
Dans notre effort de développement d'une nouvelle vision du monde, nous devons continuellement prendre garde à ne pas nous laisser piéger par les conceptions classiques. Cela s'applique aussi à l'idée que nous nous faisons de la vie et de l'évolution. Ainsi n'avons-nous plus le droit de dire de telle espèce, par exemple la mouche, qu'elle est plus vieille qu'une autre, disons l'homme. Nous avons seulement deux êtres vivants qui existent ici et maintenant. Bien sûr, il est assuré que le plan organisateur de la mouche est apparu antérieurement à celui de l'homme. Mais c'est tout, car la mouche d'aujourd'hui, sur d'autres plans, est probablement très différente de celle d'il y a 50 ou 100 millions d'années. Or, ne retenir que ce qui n'a pas changé en ignorant le reste conduit certes à des classifications commodes, comme celle par espèces, mais en même temps rend aveugle à un pan entier de la réalité. C'est justement dans ce pan que se trouve peut-être l'explication de certains phénomènes encore incompris comme la coévolution.
Au fond qu'avons-nous ? Toujours la même chose en vérité : des eidos organisés en situations emboîtées les unes dans les autres. Nous avons essayé de représenter cela sur la figure 18.

Cette image pourrait être prise pour une variante d'un arbre de l'évolution, un arbre phylogénétique. Il n'en est rien. Même si d'une certaine manière elle reflète le passé, ce qu'elle contient est ce qui existe au présent, maintenant. Le cercle de l'individu correspond aux eidos qui lui appartiennent en propre. Le cercle de la famille comprend les eidos que partagent plusieurs individus, comme certains traits morphologiques ou comportementaux. Le cercle de l'espèce contient à son tour des eidos que partagent les membres de plusieurs familles, comme des plans structuraux, des comportements de base, l'inconscient collectif, etc. Et ainsi de suite, les cercles s'élargissent jusqu'à Gaïa, c'est-à-dire jusqu'à la Terre entière considérée comme un être vivant.
Le sens profond de ce schéma est que nous ne sommes pas isolés. Tous les êtres sont en permanence reliés à tous les autres. Et par là, nous ne voulons pas seulement dire que mécaniquement ils interagissent avec différents êtres de la biosphère. L'idée est bien plus forte. Chacun partage des eidos avec d'innombrables individus, eidos de formes, eidos de comportements, eidos de pensées. En ce moment même par exemple, votre corps est en train de se reconstruire, comme il le fait en permanence. Pour cela, l'ADN de vos cellules se " branche " sur différents plans organisateurs, certains qui vous sont propres (telle cicatrice qui vous vient d'une blessure), d'autres qui sont familiaux (le nez de votre père et de votre grand-père), d'autres encore qui sont communs à toute l'espèce humaine (le plan général dirons-nous), d'autres qui dépassent même notre espèce (la signification du code génétique). Ce faisant, tous ces eidos se renforcent, ce qui n'est pas sans conséquences sur tous les individus qui puisent aux mêmes sources. Donc chaque action a des effets immédiats sur la situation globale. Ce que vous faites à vous-même, vous le faites aux autres, non pas par propagation, mais instantanément, par résonance. Et ce que vous faites aux autres, vous le faites à vous-même.
Cette vision de la vie où tout coévolue automatiquement et continuellement explique pourquoi les associations symbiotiques sont la règle dans la nature. Elle permet aussi de comprendre pourquoi la Terre dans son entier se comporte comme un être vivant. Et finalement, nous voyons que si un être s'élève, il contribue à élever tous les êtres. C'est parce que ce mécanisme existe que l'Homme pourra mener à bien sa tâche.
Dans une cosmogonie fractale, il est difficile de trouver un point de départ, car il n'y a en fait ni début ni fin. Il n'existe que des spirales d'univers liés les uns aux autres et dépendants les uns des autres. En schématisant, l'on pourrait dire que chaque cercle d'univers est encastré entre un cercle d'univers au-dessus et un autre cercle d'univers au-dessous. L'univers du dessus est celui qui donne naissance à l'univers du dessous. Mais il a lui-même besoin de cet univers du dessous pour être vraiment complet et poursuivre son histoire au-dessus. Le même scénario se reproduit pour celui du dessous, qui est le maître de celui qui est au-dessous de lui et pour qui il représente l'univers de dessus. Et ainsi de suite. Un vrai casse-tête sans dessus-dessous ! L'essentiel est de comprendre que tous sont liés. Lorsqu'un univers bouge, tous les autres bougent aussi. Et comme ce mouvement est permanent et éternel, il est impossible de dire où cela a commencé. Si l'on était capable de s'extraire quelques instants de la grande machinerie universelle, ce qui n'est pas le cas sinon par la pensée, on verrait un seul grand dessin en mouvement, un présent vibrant de vie qui remplirait tout.
Quelque part, on ne sait donc où, au milieu de tous ces univers, il y a le nôtre. Il est bâti comme tous les autres sur les principes de la Weid, c'est-à-dire qu'il est fait d'eidos qui se détruisent et se recréent sans cesse sous l'action du Principe Moteur et du Principe Directeur. Tous les univers étant liés, les eidos qui nous constituent sont enfants de l'éternité. C'est pour cela que l'on peut dire que notre conscience est éternelle et notre nature profonde multidimensionnelle. Ceci dit, pour l'instant, cette conscience est impliquée dans une histoire qui est celle des hommes, sur une planète qu'ils appellent la Terre, perdue au milieu d'innombrables étoiles et galaxies. Par le fait même que nous nous trouvions prisonniers de cet univers qui a donné naissance à notre entité humaine, il nous est impossible de raconter autre chose que l'histoire de cet univers vu par des agrégats humains qui se trouvent dedans. Nous savons qu'à l'intérieur de cet univers, comme partout dans la Weid, il n'y a que du présent. Mais du fait que nous sommes dans un cycle, celui-ci possède une histoire avec un début et une fin. Alors qu'avons-nous au-dessus et au-dessous qui détermine ce début et cette fin ? Des interrogations en fait, car nous nous trouvons là aux limites de notre alpha et oméga. Comme la seule brique de construction dont nous sommes certains est l'eidos, nous dirons qu'au-dessus et au-dessous de nous se trouvent forcément des eidos. Eux aussi sont impliqués dans leur propre histoire, dans leur propre cycle d'univers. Imaginons donc au-dessus de nous un point contenant un grand nombre d'eidos, quelque part à l'intérieur de son cercle d'évolution à lui. Ce point, nous allons l'appeler le Germe, car il est la graine qui va donner naissance à notre cycle d'univers. On aurait pu l'appeler aussi le Souffle, l'inspir et l'expir, la première note de la mélodie, la vibration du vide, l'énergie créatrice Toutes ces dénominations sont exactes et fausses à la fois, car on aura beau inventer des mots, l'essence des eidos nous échappera toujours. Nous sommes condamnés à inventer de nouveaux mots pour les définir. Et c'est finalement très bien ainsi car cette quête est aussi l'un des moteurs de la création. Mais revenons à notre graine d'informations primordiale. C'est elle qui va déterminer la règle du jeu de notre cycle, et en premier lieu, le terrain où va se dérouler la partie. En ce qui nous concerne, ce sont trois dimensions d'espace qui ont été choisies, associées à une quatrième d'un autre niveau que nous appelons le temps. Pourquoi ? Nous n'en savons rien. Mais depuis le début nous nous trouvons piégé dans une histoire de règle de trois qui fait quatre. Cette règle n'est certainement pas universelle, et il doit exister des univers comportant bien d'autres dimensions. Quoiqu'il en soit, le Germe est lancé pour nous. Et cette balle d'eidos est reliée à d'autres eidos piégés dans un autre point au-dessous, où se trouvent les eidos des particules élémentaires ou IU. De cette rencontre va naître au fil des échanges et des saturations d'eidos ce que nous appelons le plan du Minéral. Cette histoire, la science moderne nous en raconte une partie à travers la physique classique et l'astrophysique. Mais n'oublions pas que nous avons dès le début la rencontre de deux types d'eidos, ceux du Germe et ceux des IU. Le Germe ne se contente pas de planter le décor, il fixe aussi d'autres lois, qui font qu'en bout de course nous nous apercevons que tout a été réglé au quart de tour. Il ne pouvait en être autrement.
La matière primitive est donc née. Elle s'organise sous la poussée du Principe Directeur et du Principe Moteur pour donner naissance à des eidos de plus en plus achevés, chargés de plus en plus de sens. Les premiers servent à constituer des structures comme les atomes, les molécules, les cellules, l'ADN D'assemblages d'eidos en assemblages d'eidos, on finit par obtenir ce que nous voyons aujourd'hui sous une forme saturée, le Végétal, l'Animal, et l'homme. Ainsi, par glissement, ces eidos d'abord chargés d'informations structurelles (fabriquer des structures vivantes organisées) vont peu à peu permettre à d'autres eidos d'émerger. Des eidos de plus en plus symboliques, de plus en plus abstraits, jusqu'à l'idée du moi séparé des autres, l'idée de Dieu, et même de la Weid fractale ! Et c'est avec ces bagages, chacun les siens, que les êtres vivants poursuivent leur aventure
1. Lao Tseu, Tao tö king, idées Gallimard, 1967.
2. Shri Aurobindo, Métaphysique et psychologie, spiritualités vivantes Albin Michel, 1976.
3. Mircéa Eliade, Aspects du mythe, idées Gallimard, 1963.
4. David Bohm, La danse de l'esprit, éditions Seveyrat, 1988.
5. René THOM, Modèle mathématiques de la morphogenèse, 10/18, 1974.
6. David BOHM, La plénitude de l'univers, éditions du Rocher, 1987.
7. Rupert SHELDRAKE, Une nouvelle science de la vie, éditions du Rocher, 1981.
8. John Tyler BONNER, Les signaux chimiques des amibes sociales, Pour la Science, juin 1983.
9. Jeffrey LEVINTON, Le Big Bang de l'évolution animale, Pour la Science n°183, janvier 1993.